De StarOffice Suite, deel II (Word Processor)

ArticleCategory: [Choose a category, translators: do not translate this, see list below for available categories]

Applications

AuthorImage:[Here we need a little image from you]

[foto van de Auteur]

TranslationInfo:[Author + translation history. mailto: or http://homepage]

original in es Ismael Ripoll

es to en Javier Cano Perez

en to nl Guus Snijders

AboutTheAuthor:[A small biography about the author]

Ph.D. van de Polytechnische Universiteit te Valencia in 1996. Professor in besturingssystemen bij de afdeling DISCA. Onderzoek interesses bevatten real-time scheduling en besturingssystemen. Linux gebruiker sinds 1994. Hobbies: trekken door de Pyreneën, skieën en thuis electronica.

Abstract:[Here you write a little summary]

Dit is het tweede artikel over het office pakket Star Office. In het eerste hebben we de hele suite bekeken, met een focus op presentaties. Nu, met het tweede artikel in deze serie gaan we kijken naar de ster-tool van ieder office pakket: de tekst verwerker.

ArticleIllustration:[One image that will end up at the top of the article]

star office

ArticleBody:[The main part of the article]

Nieuwe updates

Slechts twee maanden geleden schreef ik het vorige artikel. Sindsdien zijn er drie updates (service packs) van de StarOffice suite publiek gemaakt door StarDivison. (http://www.stardivision.com). Deze zijn echter waarschijnlijk een nieuwe en volledige installatie in plaats van een patch op de distributie. De stabiliteit van het programma is sterk verbeterd en nu werkt ook iedere functie goed. Spaanse en Catalaanse speciale symbolen (accenten en leestekens) worden perfect herkend, dus ik ga er vanuit dat toetsenborden in andere talen evengoed worden afgehandeld. Deze distributie komt met een volledige installatie handleiding (beide in html en pdf), waarin antwoorden zijn te vinden voor ieder probleem dat zou kunnen optreden.

In het vorige artikel van deze serie maakte ik een fout met de data. Ik schreeft dat het ontwerp van StarOffice was gericht op portabiliteit, en dat slechts 20% van de code afhankelijk was van het O.S.
Dat was waar voor versie 3.1, voor de huidige versie, 4.0, is slechts 0.5% afhankelijk van het platform. Correctie aangewezen door Michael van StarDivision.

Tekstverwerker

Ik ga hier geen tutorial maken voor deze tekstverwerker, maar meer een beschrijving van de mogelijkheden van deze tool. Er zijn honderden boeken, en dat meen ik serieus, waarin je kunt vinden hoe je je voordeel kunt doen met tekstverwerkers.


Dit artikel is geschreven met de StarOffice word processor.

Laten we naar de werk omgeving gaan.

Het werk venster is opgebouwd uit de volgende elementen:

Dit zijn de tools zoals ze verschijnen na installatie, maar we kunnen ze naar wens aanpassen, knoppen toevoegen en verwijderen bij ieder van de voorgaande balken of zelfs nieuwe balken maken. De locatie van de balken kan eenvoudig worden veranderd met drag'n'drop naar de desktop (behalve controle en menubalken die respectievelijk onder en boven vastzitten).

URL adressen worden gebruikt om te refereren aan documenten, zowel lokale als remote.

Het werk begint

Eerst maken we een nieuw document. Dit kan op vier verschillende manieren:


Tekst Bewerken

Ik heb de functionaliteit zoals die geboden wordt door StarOffice, opgedeeld in drie delen. Afhankelijk van je kennis van tekstverwerkers en je eisen, kun je sommige van de volgende secties overslaan.

Eenvoudige Bewerkingen

Het biedt alle basisfunctionaliteit voor het werken aan lettertype opmaak. In de object toolbalk zijn zgn "hot buttons" geplaatst voor de meest gebruikte attributen.

Lettertype, grootte, vet, schuin en onderstrepen.

Deze en andere attributen kunnen worden gebruikt en aangepast via het context menu. Vanaf de menu balk (Format>Character) kun je bier en biefstuk bestellen, maar voor StarOffice dien je een dialoog venster te openen, van waaruit je ieder attribuut kunt benaderen.

De paragraaf opmaak is ook niets op aan te merken. In de object bar, dichtbij de knop voor het zetten van vet, schuin, enz., zijn er knoppen voor uitlijnen, opsomming- of artikelsgewijze notatie en paragraaf inspringing. Het is ook mogelijk om de paragraaf attributen van het context menu en de menu balk aan te passen. Tabulatie-punt beheer is exact hetzelfde als in Word: gebruik maken van de horizontale regel.

Handen omhoog voor wie wel eens in de problemen is gekomen bij het configureren van het pagina formaat met Word. Vreemd? Word distribueert het pagina formaat in verschillende dialoog vensters, welke tegelijkertijd worden benaderd via meerdere punten in de menu hiërarchie. Gelukkig voor ons heeft StarOffice een enkele pagina waar in een keer alle pagina karakteristieken kunnen worden ingesteld: Format > Page. Verder kunnen de meeste gebruikte bewerkingen ook worden gevonden in de main toolbalk. Vanaf dit punt, pagina afmetingen (Letter, A3, A4, enz.), kop- en voetafmetingen, rand stijl, achtergrond kleur en kolom nummer en stijl (in het geval van een tekst met twee of meer kolommen).

Afdruk opties zijn enigzinds beperkt, daar alleen PostScript printers worden ondersteund. Ervan uitgaande dat we het systeem hebben geconfigureerd met de juiste filters (meestal zal dit gs zijn) in het bestand /etc/printcap, kunnen we zonder enig probleem printen.

Tussen editie

Een van de eerste karakteristieken van tekstverwerkers was de stijl set. Stijlen zijn verzamelingen attributen --van lettertype, of paragraaf of beide-- gegroepeerd in een naam. Zo kunnen we bijvoorbeeld een stijl "title" definiëren als lettertype Helvetica, 14pt, vet en schuingedrukt. Iedere keer als we een nieuwe titel maken, wijzen we het gewoon de "title" stijl toe. De voordelen zijn duidelijk:

StarOffice biedt een volledige voorgedefinieerde stijl-set die we kunnen gebruiken als we er zelf geen willen maken.

Het benaderen van een grote verzameling van stijlen is erg interessant, om ons in staat te stellen de juiste te kiezen bij het schrijven van een document, aan de andere kant is het geen goed idee om de stijl te scannen die we hebben gekozen in de lange lijst van beschikbare stijlen. De manier waarop StarOffice de stijlen weergeeft is erg goed. De stijlen die zijn toegepast op een document worden weergegeven in een pull-down lijst in de object balk, we hoeven dus maar 1 keer te zoeken in de globale stijllijst. Los hiervan is de globale stijllijst (die je kunt activeren met de knop) die ons toestaat om het op meerdere manieren te organizeren: alle stijlen, toegepaste stijlen, HTML stijlen, gebruikers stijlen of een hiërarische boom.

Niet alleen is de set van stijlen die willen in hoge mate configureerbaar, ook zijn de stijlen afhankelijk van de belangrijkste attributen georganiseerd: paragraaf, lettertype, pagina of frame stijl. De paragraaf stijlen zijn echter het bruikbaarst.

We hebben toegang tot een goede synoniemen lijst. Op het moment zijn alleen Engelse en Duitse versies beschikbaar.

Tabellen zijn een andere verwachte feature van iedere goede tekstverwerker. Een afwijking die mij opviel in Word, was dat het geen cellen verticaal kan samenvoegen. Hier hebben we dat nadeel niet.

Iets anders waar ik tegen aanliep in Word, is de weinige verwerkings kracht in zijn tabellen, in andere woorden, een Word tabel is erg ver weg van het gebruik als een spreadsheet --het lijkt er onder meer op dat de gebruiker zo wordt aangemoedigd een spreadsheet aan te schaffen--. Tekst editor tabellen (die niets te doen hebben met de spreadsheets in dit pakket) zijn echte spreadsheets, de object balk veranderd in een volledige interface om te helpen bij het invoeren van formules in de cellen. De muis kan ons helpen om cellen te selecteren bij het bouwen van formules.

Frames worden gebruikt om tekst en andere objecten met volledige vrijheid op een pagina te plaatsen. Ieder object dat we willen (tabel, afbeelding, tekst, enz.) kan in een frame worden geplaatst. Een frame gedraagt zich als een object container, op zo'n manier dat als we het frame verplaatsen, alle objecten in het frame worden meeverplaatst. Object distributie in het frame zoekt hetzelfde gedrag als op een normale pagina.

Er zijn twee verschillende manieren om tekst in verschillende kolommen te organizeren:
(1) pas kolom-distributie toe op het hele document;
(2) creëer een kolom structuur binnen een drijvend frame. Met het tweede schema vermijden we vervelende methode die in Word wordt gebruikt om documenten met een verschillend aantal kolommen in twee pagina's te maken.

Geavanceerde Editie

Als alle documenten zijn geschreven, kunnen paragrafen snel worden georganiseerd door de <Ctrl> toets vast te houden en te bewegen met de cursor toetsen (zelfde als <Shift>-<Alt> in Word).

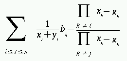
Wiskundige expressies kunnen goed worden samengesteld met een hulp optie menu, of door ze te schrijven op een erg vergelijkbare manier als het werken met LaTeX. Deze expressie:

sum from {i le t le n} { 1 over {x_i + y_i } b_{ij} } = {prod from {k %notequal i} x_k - x_k } over {prod from {k %notequal j} x_k - x_k }

geeft hetzelfde resultaat als de volgende formule: Vergelijking

Een aparte mogelijkheid is die om geanimeerde tekst op te nemen. Deze tekst schuift horizontaal met een uniforme snelheid, rechts verschijnend en dan weer in een lus. Met dit soort objecten wordt een document levendig en leuk.

We kunnen een grote variatie van controls (knoppen, markeer cellen, tekst velden, enz.) invoegen, vergelijkbaar met die gevonden in HTML formulieren. Eenmaal ingevoegd, gedragen ze zich als actieve objecten. We kunnen een macro (geschreven in StartBasic of JavaScript) toewijzen aan een bepaalde object actie. Dit is vergelijkbaar met formulieren of visueel programmeren.

Van een tabel met nummers kunnen we een balk grafiek produceren. Ik zal hier niet alle opties bespreken die StarOffice biedt voor het schetsen en maken van de balkgrafiek, omdat ik dit artikel graag wil afronden voordat de volgende versie uitkomt. Ik merk alleen op dat bar grafieken OLE objecten zijn en, net zoals dat Windows gaat, alle programma menus onderdeel worden van de applicatie menus.

Behalve de balkgrafiek, dat een OLE object is, kunnen we ook andere objecten invoegen: een spreadsheet, een presentatie of een afbeelding.

In Word proberen alleen ervaren gebruikers stijlen te gebruiken. De situatie in StarOffice is compleet anders: het stijl-concept is perfect geïntegreerd met de editie. Een stijl creëren is zo simpel als het selecteren van het object dat we willen gebruiken als patroon (een paragraaf, bijvoorbeeld), op de stijl creatie knop drukken (staat in het stijl venster) en er een naam aan geven, dan heb je een nieuwe stijl gecreëerd. Het moge duidelijk zijn dat deze methode de "copy style" knop van Word overbodig maakt, verder, als we er over nadenken, blijkt deze knop eigenlijk een patch voor het stijl systeem. Een bestaande stijl aanpassen is even eenvoudig; je selecteerd het object met de gewilde set attributen en drukt dan op de "update style" knop (denk er bij het aanpassen van een paragraaf stijl aan om het laatste paragraaf symbool te selecteren, deze heeft de attributen van de paragraaf).

De navigator () is een venster waarin alle objecten die voorkomen in het document zijn weergegeven en verdeeld in klassen: Headers, tabellen, frames, tekeningen, OLE objecten, markeringen, secties, bibliografische referenties, links, indexen en notities. Vanuit dit venster kunnen we door de tekst "navigeren" en zo de cursor op ieder van deze objecten te krijgen.

De explorer en "beamer" mix staat ons toe om alle schijfbestanden te scannen, inclusief de grafische bibliotheek die meekomt met StarOffice, en deze in ons document op te nemen door ze te slepen&droppen van het "beamer" venster. Nieuwe mappen kunnen worden toegevoegd (met het context menu) naar de initiële die zijn weergegeven in de explorer, als we die nodig hebben. Een bestands-zoek faciliteit is opgenomen in de explorer voor het geval we deze services nodig hebben.

Je hoeft je tenminste geen zorgen te maken bij grote documenten. Ieder hoofdstuk gaat in een ander document en deze worden allemaal opgenomen in een master document. Dit master document is een speciaal soort document dat bestaat uit links naar alle documenten die ieder een eigen hoofdstuk zijn. Het is in het master document waar alle pagina attributen worden gedefinieerd (kop- en voetteksten, hoogte en breedte, enz.), ieder ander individueel pagina attribuut wordt genegeerd. Het master document is de basis om inhoudstabellen en indexen te maken. Zoals gebruikelijk in StarOffice, is er een venster met de tools die om eenvoudig te "navigeren" door de documenten tijdens het samenstellen van het master document. Op ieder moment hebben we het overzicht over het uiteindelijke document.

Dit is de werk methode: eerst maak je een nieuw master document, dan moet ieder document van de "beamer" naar de "navigator" worden gesleept, vervolgens worden indexen toegevoegd en, tenslotte, kopteksten en pagina nummers worden geregeld. Het document is klaar om afgedrukt te worden. In het geval dat we nog iets op het laatste moment willen aanpassen, kan dit eenvoudig worden gedaan door te dubbelklikken op het document, in de navigator het aan te passen punt zoeken en in een ander venster bewerken. Om alle documenten perfect samen te voegen (we willen bijvoorbeeld een lege pagina tussen twee hoofdstukken), kunnen we tekst toevoegen in het master document.

Conclusies

Service pack3 voldoet aan de verwachtingen van de meest-eisende Linux gebruiker met betrekking tot de robuustheid van het programma en de kwaliteit van de geleverde faciliteiten (gebruikers die de reset knop als iets nutteloos zien).

Wat betreft de hardware eisen om StarOffice te gebruiken, het moet gezegd worden dat het niet bepaald een klein programma is. zoals we hier kunnen zien:

   ps -m | grep soffice
   PID TTY MAJFLT MINFLT   TRS   DRS 
SIZE  SWAP   RSS  SHRD   LIB  DT 
COMMAND
   ...
   302   1  22258   6063  3248
32812 50064 14004 36060 18096     0 4460
soffice.bin

Het programma gebruikt zo'n 50 Mb, en dat op een machine met 64Mb RAM.

Aan de andere kant, als je het voorziet van voldoende geheugen, beloont StarOffice je met een hoge snelheid, zowel in eenvoudige bewerkingen als complexe (zoals werken met tabellen, objecten, OLE of het verplaatsen van grote documenten. Al deze operaties kunnen worden uitgevoerd zonder merkbare vertraging. StarOffice is vooral goed in afdruksnelheid, het biedt de mogelijkheid om een document van meer dan 100 pagina's in enkele seconden af te drukken.

Dit artikel heeft veel mogelijkheden van StarOffice buiten beschouwing gelaten, maar ik geloof dat de lezer een redelijke indruk heeft van wat men kan verwachten van dit pakket.

Deze tekstverwerker, StarOffice, komt perfect tegemoet aan de eisen van iedere gebruiker en biedt zelfs enige DTP (Deskop Publishing) faciliteiten. Dankzij de reeks formaten (RTF, HTML, Word6.0/95) die door de import/export capaciteiten worden ondersteund, heb je niet het nadeel van het verlies van oude documenten als je overstapt naar deze suite. De programma interface, handelingen en geïmplementeerde functionaliteit, zijn vergelijkbaar met die van MsWord97; aan de andere kant (en gelukkig voor ons), gelet op betrouwbaarheid en robuustheid komt StarOffice beter voor dag.

Interessante links:

StarDivision: http://www.stardivision.com
Caldera: http://www.caldera.com
Eerste artikel in deze serie:StarOffice I